数模转换器指标计算器
分贝(dB):按照对数定义的一个幅度单位。对于电压值,dB以20log(VA/VB)给出;对于功率值,以10log(PA/PB)给出。dBc是相对于一个载波信号的dB值;dBm是相对于1mW的dB值。对于dBm而言,规格中的负载电阻必须是已知的(如:1mW提供给50Ω),以确定等效的电压或电流值。
有效位数(ENOB):模数转换器(ADC)与输入频率fIN相关的测试指标(位)。随着fIN的增大,整体噪声(特别是失真成分)将会增大,因而降低了ENOB和SINAD性能。另请参考:信号与噪声 + 失真比(SINAD)。ENOB与SINAD的关系式为:
分辨率:模拟信号被量化时,它是以有限的离散电压电平表示的,分辨率是用来表示信号的离散电平个数。为了更精确地恢复模拟信号,必须提高分辨率。分辨率通常定义为位数,利用更高的分辨率进行转换可以降低量化噪声。
RMS:参考有关均方根(RMS)的注释。
均方根(RMS):表示交流信号的有效值或有效直流值。对于正弦波,RMS是峰值的0.707倍,或者是峰-峰值的0.354倍。
SFDR:参考有关无杂散动态范围(SFDR)的注释。
信号与噪声 + 失真比(SINAD):直流到奈奎斯特频段内,正弦波fIN (对于ADC指的是输入正弦波,对于ADC/DAC指的是重建的输出正弦波)的RMS值与转换器噪声的RMS值之比,包括谐波成分。典型值以分贝表示,另请参考关于均方根(RMS)和总谐波失真的注释。
信噪比(SNR):直流到奈奎斯特频段内,正弦波fIN (对于ADC指的是输入正弦波,对于ADC/DAC指的是重建的输出正弦波)的RMS值与转换器噪声的RMS值之比,直流噪声和谐波失真除外。典型值以分贝表示,另请参考关于均方根(RMS)的注释。
理想状况下,最小转换噪声的理论值只包括量化噪声,可直接由数据转换分辨率计算得到:(N): SNR = (6.02N +1.76)dB
无杂散动态范围(SFDR):正弦波fIN (对于ADC指的是输入正弦波,对于ADC/DAC指的是重建的输出正弦波)的RMS值与在频域观察到的杂散信号的RMS值之比,典型值以分贝表示。SFDR在一些需要最大转换器动态范围的通信系统中非常重要。

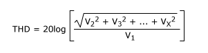
总谐波失真(THD):出现在输入(DAC为输出)频率整数倍频点(谐波)的失真的RMS值与输入(或输出)正弦波的RMS值之比。测量中仅包括奈奎斯特频限内的谐波,典型值以分贝表示:
式中,V2 至Vx是基波V1的谐波。




