LVDS技术及其在多信道高速数据传输中的应用
2008-09-28
作者:王 冰 靳学明
摘 要: 介绍LVDS技术及其在雷达系统" title="雷达系统">雷达系统中的应用,应用LVDS技术解决雷达系统中多信道、高速数据的传输问题。
关键词: LVDS 数据传输 PCB 阻抗匹配
在被称为信息时代的今天,为适应信息化的高速发展,高速处理器、多媒体、虚拟现实以及网络技术对信号的带宽要求越来越大,多信道应用日益普及,所需传送的数据量越来越大,速度越来越快。目前存在的点对点物理层接口如RS-422、RS-485、SCSI以及其它数据传输标准,由于其在速度、噪声/EMI、功耗、成本等方面所固有的限制越来越难以胜任此任务。在雷达领域,随着技术的发展,新体制雷达的出现和普及,如DBF体制雷达、相控阵雷达等,所需处理的信号带宽和信号通道数大幅度增加,同样面临着大数据量的传输问题。因此采用新的技术解决I/O接口问题成为必然趋势,LVDS这种高速低功耗接口标准为解决这一瓶颈问题提供了可能。目前LVDS技术在通信领域的应用日益普及,本文结合雷达中的数据传输特点介绍LVDS技术,分析LVDS技术在雷达中的应用前景。
1 LVDS技术介绍
LVDS(LOW VOLTAGE DIFFERENTIAL SIGNALING)是一种小振幅差分" title="差分">差分信号技术,使用非常低的幅度信号(约350mV)通过一对差分PCB走线或平衡电缆传输数据。它允许单个信道传输速率达到每秒数百兆比特,其特有的低振幅及恒流源" title="恒流源">恒流源模式驱动只产生极低的噪声,消耗非常小的功率。同时,LVDS也是对高速/低功耗数据传输的一个多任务接口标准,在ANSI/TIA/EIA-644-1995标准中被标准化。
1.1 LVDS工作原理
图1为LVDS的原理简图,其驱动器由一个恒流源(通常为3.5mA)驱动一对差分信号" title="差分信号">差分信号线组成。在接收端有一个高的直流输入阻抗(几乎不会消耗电流),所以几乎全部的驱动电流将流经100Ω的终端电阻在接收器输入端产生约350mV的电压。当驱动状态反转时,流经电阻的电流方向改变,于是在接收端产生一个有效的“0”或“1”逻辑状态。
1.2 LVDS技术的特点
LVDS技术之所以能够解决目前物理层接口的瓶颈,正是由于其在速度、噪声/EMI、功耗、成本等方面的优点。
1.2.1 高速传输能力
LVDS技术的恒流源模式低摆幅输出意味着LVDS能高速驱动,例如:对于点到点的连接,传输速率可达800Mbps;对于多点" title="多点">多点互连FR4背板,十块卡作为负载插入总线,传输速率可达400Mbps。
1.2.2 低噪声/低电磁干扰
LVDS信号是低摆幅的差分信号。众所周知,差分数据传输方式比单线数据传输对共模输入噪声有更强的抵抗能力,在两条差分信号线上电流方向及电压振幅相反,噪声以共模方式同时耦合到两条线上。而接收端只关心两信号的差值,于是噪声被抵消。由于两条信号线周围的电磁场也相互抵消,故比单线信号传输电磁辐射小得多。而且,恒流源驱动模式不易产生振铃和切换尖锋信号,进一步降低了噪声。
1.2.3 低功耗
(1)LVDS器件是用COMS工艺实现的,这就提供了低的静态功耗;
(2)负载(100Ω终端电阻)的功耗仅为1.2mW;
(3)恒流源模式驱动设计降低系统功耗,并极大地降低了Icc的频率成分对功耗的影响。与其相比,TTL/COMS收发器的动态功耗相对频率呈指数上升。
1.2.4 节省成本
(1)经济的COMS工艺实现技术;
(2)低成本实现高性能,对电缆、连接器和PCB材料无苛刻要求;
(3)低能耗;
(4)TTL/COMS信号能被串行或混合到单个LVDS通道,减少板面、层数、接插件和电缆。
另外,由于是低摆幅差分信号技术,其驱动和接收不依赖于供电电压,如5V;因此,LVDS能比较容易应用于低电压系统中,如3.3V甚至2.5V,保持同样的信号电平和性能。LVDS也易于匹配终端。无论其传输介质是电缆还是PCB走线,都必须与终端匹配,以减少不希望的电磁辐射,提供最佳的信号质量。通常一个尽可能靠近接收输入端的100Ω终端电阻跨在差分线上即可提供良好的匹配。目前LVDS技术在传输距离上有其局限性,一般应用在20m以下。
2 LVDS的典型结构和常用产品
目前LVDS产品主要有美国国家半导体公司全系列的LVDS产品和德州仪器半导体司的LVDS产品系列。美国国家半导体公司这方面更具优势,其产品主要有四种典型结构,是目前数据传输和交换常用的四种方式。
2.1 典型结构
(1)点到点结构。基本的发送和接收结构,用于两点间固定方向信号传输;
(2)点到多点结构。广播式总线结构连接多个接收端到一个发送端,常用于数据分配;
(3)多点到多点结构。多点互连总线使点到点之间互连降到最少,同时提供双向,半双工通讯能力,在同一时间,只能有一个发送器工作;
(4)矩阵开关结构。通常应用于需要非常高的信号交换通路的系统中,实现全双工通信。
2.2 常用产品
(1)对应点到点或点到多点结构,有LVDS线路驱动/接收器和LVDS串行/解串器(Channellink)系列产品。对于多通道、宽带、大动态的数据传输,LVDS串行/解串器将是很好的解决方案。雷达系统中,分系统之间的数据传输,分系统内通过背板的数据传输应用LVDS串行/解串器将大大减少电缆、接插件以及PCB背板的复杂度。这种产品在雷达系统中有很好的应用前景。
(2)对应点到多点或多点到多点结构的应用,Bus LVDS 技术能最好地适应这些应用。Bus LVDS是LVDS线路驱动/接收器系列的扩展,为多点应用场合而设计,这时总线两端都终接电阻。Bus LVDS驱动器提供约10mA的输出电流,因而能被用于重负载的背板上,那里的等效阻抗低于100Ω,这时驱动器会有30~50Ω范围的负载。在一些大的数据通信系统中,要构造大的高速背板,LVDS技术是最理想的解决方案。
3 LVDS的应用
了解LVDS技术的特性后,下面的问题就是如何在设计中应用好LVDS产品充分发挥其技术优点,优化系统设计。这里结合华东电子所某型号雷达系统中LVDS技术的应用来阐述用LVDS做设计的一些原则和技巧。
由于在系统中有几十路接收通道和数字中频接收机,数据线近500路。如应用传统的TTL/COMS信号用双绞线并行传输,则需近千根导线,势必造成系统和背板都很复杂,其噪声/EMI性能的保证令设计者头痛,功耗也将很大。于是笔者在系统设计中应用了LVDS串行/解串器技术(Channel link产品),将数据线压缩到几十对差分线,完成了数据传输,并在多种型号雷达中成功应用。在选定了产品后,用好LVDS技术关键就在于PCB板的设计。PCB布线总的原则是:阻抗匹配是非常重要的,差分阻抗的不匹配会产生反射,会减弱信号并增加共模噪声,线路上的共模噪声将得不到差分线路磁场抵消的好处而产生电磁辐射。所以要尽量在信号离开IC后控制差分阻抗的走向,尽力保持尾端<12mm。
3.1 PCB板差分布线的设计
侧耦合的微带线、侧耦合的带状线、宽边的带状线都可作为很好的差分线。根据实际情况,应用中选择了侧耦合的微带线,示意如图2。
布线中注意了以下几点:
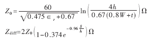
(1)应用微波传输线理论设计差分阻抗Zdiff或利用以下方程设计:
其中Z0为微带线的特性阻抗;
(2)所布的差分线对一离开IC就尽早尽可能靠近在一起走线,布线越近磁场的抵消就越好,有助于消除反射并保证噪声以共模方式耦合。也即图2中的S越小越好;
(3)对于差分布线不要依赖于自动布线功能,要匹配一对差分线的长度,确保各组差分线间的间隔;并使线上过孔最少;
(4)避免90°转弯(以防造成阻抗不连续),用弧线或45°斜线代替。
3.2 PCB板的设计
(1)至少用4层PCB板,将LVDS信号、地、电源、TTL信号分层布局。在实际设计中采用了8层板以尽量满足要求;
(2)将陡的COMS/TTL信号与LVDS信号隔离,最好能布在不同层上,并用电源和地层隔开;
(3)保持发送器和接收器尽可能靠近接插件,连线长度愈短愈好(<1.5英寸),以保证板上噪声不会被带到差分线上,而且避免电路板及电缆线间的交叉EMI干扰;
(4)旁路每个LVDS器件,分布式散装电容或表贴电容放在尽量靠近电源和地线引脚处;
(5)电源和地线应用宽的布线(低阻抗),并保持地线PCB回路短而宽;
(6)终端负载用100Ω(误差<2%)表贴电阻靠近接收器输入端来匹配传输线的差分阻抗,终端电阻到接收器输入端的距离应小于7mm;
(7)将所有空闲引脚开路(悬空)。
3.3 电缆和接插件的选择
应用中选择了双绞线平衡电缆,并在外层加屏蔽;接插件选择标准连接器,在连接器上差分信号通常连接在一行中靠近的两个连接脚上,示意如图3所示。
总之,应用LVDS技术在系统设计之前,应优先考虑以下几点:
(1)必须优先考虑电源和地在系统中的分布;
(2)考虑传输线的结构及其布局布线;
(3)完成其余电路部分设计,随时观察和修整布局。
LVDS数据传输标准比传统的RS-232、RS-422、RS-485等标准有很大的优越性。在雷达系统中应用LVDS技术来完成数据传输,将会降低系统设计的复杂度,使系统有很高的可靠性、高数据率、低噪声/低电磁辐射和低成本。
参考文献
1 LVDS Owner's Manual.National Semiconductor, 2000
2 廖承恩.微波技术基础.北京:国防工业出版社,1984
3 National Application Note AN-1108, AN-971.www.national.com
4 Howard W.Hohnson,Martin Graham. High-Speed Digital Design.




