TD-SCDMA下行链路算法研究
摘要: TD-SCDMA[1]是第三代移动通信标准中极具竞争力的标准之一,它具有低发射功率、高系统容量、频谱利用率高等特点。联合检测作为TD-SCDMA关键技术之一,同时考虑多个用户的信息以及相应的信道冲激响应(CIR)进行数据检测,能够消除位于同一小区并在同一时间
关键词:
NGN|4G
Abstract:
Key words :
一、引言
TD-SCDMA[1]是第三代移动通信标准中极具竞争力的标准之一,它具有低发射功率、高系统容量、频谱利用率高等特点。联合检测作为TD-SCDMA关键技术之一,同时考虑多个用户的信息以及相应的信道冲激响应(CIR)进行数据检测,能够消除位于同一小区并在同一时间同频率发送的信号的多用户干扰(MAI)和码间干扰(ISI)。但由于联合检测运算复杂度比较大,一般用于上行链路[2]。文献[3]首次将联合检测技术用于下行链路,并提出了专门针对下行链路的算法。对于下行链路,已有算法中需要进行Cholesky分解以及两次回代以求得矩阵的逆,运算复杂度较大。本文在已有的联合检测算法的基础上,提出了一种简化算法,采用最直接的降低矩阵大小的方法,降低联合检测算法的复杂度。
论文的第二部分给出了系统的模型,第三部分介绍了分块联合检测迫零算法(ZF)以及均方误差最小化(MMSE)算法,第四部分是仿真的结果,第五部分是结论。在本文中,上标H表示共轭转置,上标T表示转置。 二、系统模型
在下行链路中,基站在一个小区内同时发送K个用户的信号,其中第k个用户发送的基带离散序







三、分块联合检测算法
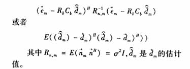
文献[3]中提出了下行链路迫零算法以及均方误差最小化算法,但这种算法只能局限于基站天线为单天线。对于目前TD-SCDMA系统,在基站常常采用8单元天线阵列,所以下行链路采用如下联合检测算法[2]:
TD-SCMDA系统采用时分的模式,上下行链路的信道冲激响应可以认为相等,所以下行链路的信道冲激响应可以在基站通过时隙中的导码进行估计。同时,移动台可以采取文献[4]中阐述的方法对同时同频率由基站发出的其他用户的扩频码进行估计。
由于需要处理的矩阵通常比较大,对于下行链路运算复杂度需要降低才能应用于实际。直接降低矩阵的规模,是最为简单可行的一种降低运算复杂




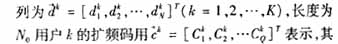
根据式(4)对dm进行最大似然估计,使下面的表达式取最小值:


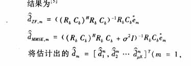
2…M)按如下方法进行组合,可以得到第k个用户发送的符号估计值。

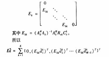
在分块联合检测算法中,信道冲激响应矩阵被划分成了大小相同的方阵。对于复杂度较高的矩阵相乘以及Cholesky分解、回代等运算只需在较小的矩阵上进行,同时由于分块后每个子块矩阵都是一样的,这些操作只需进行一次即可,所以复杂度能够明显降低。表1中列出了未分块和分块后的复数乘法数量的对比。在运算量较大的Cholesky分解部分,分块之后的运算复杂度下降为原来的1/M3。由于接收信号分块后每块数据不同,需要单独运算,所以AH部分分块前后运算量没有变化,除上述两步其他运算步骤的运算量均下降为未分块的1/M。
矩阵分块对原CIR矩阵进行了简化,从而引入了一定的误差,子块方阵之间对应的输入数据之间的码间干扰没有通过联合检测算法消除,与未分块算法比较,信噪比SNR有所下降。
矩阵分块对原CIR矩阵进行了简化,从而引入了一定的误差,子块方阵之间对应的输入数据之间的码间干扰没有通过联合检测算法消除,与未分块算法比较,信噪比SNR有所下降。


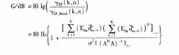
分块算法中,记Ab=RbCb,ZF分块算法可以写作







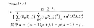
为简化信道冲激响应矩阵过程中引入的MAI和ISI。可以推导出第k个用户第m个块中第j个符号的SNR为

于是分块算法引起的SNR衰减为

四、算法仿真
由于分块联合检测算法为了降低运算量采取了一定的近似措施,所以必须采用仿真来证明近似对算法的结果引起的系统性能下降的程度是在可以接受的范围之内的。
仿真环境建立在C语言的基础上,基站天线数目为8,用户数目为10,扩频系数为16,联合检测算法采用迫零(ZF)算法。信道模型采取标准中的固定延时[7],信道衰落采用瑞利衰落模型[6]并且加上高斯分布的白噪声。仿真模型如图2所示。

图3是仿真的结果,未分块以及不同的分块数目的情况都已经过仿真。矩阵分块数目越多,由于系统简化带来的ISI和MAI对系统的影响越明显,从而系统性能随之下降。从图4中可以知道系统运算复杂度随着矩阵分块数目增多而明显下降。以分块数目为2为例,与未分块相比,系统性能约有3 dB的下降,而运算复杂度降低了约8倍。分块数目M的选取应该满足如下规则:用户发送每个数据段长度N是M的整数倍。这是考虑到进行分块联合检测算法中,用户k输出的数据
也需要分为M段。在仿真中,我们对12.2 kbps的传送速率进行仿真,每个时隙分为2个22比特数据段,所以仿真中所取的分块数目M为2和11两种情况。
也需要分为M段。在仿真中,我们对12.2 kbps的传送速率进行仿真,每个时隙分为2个22比特数据段,所以仿真中所取的分块数目M为2和11两种情况。
五、结论
在本文中,我们提出了一种新的基于分块的联合检测算法。在联合检测算法中,如果不考虑噪声的影响,联合检测将完全消除MAI和ISI,但是对于下行链路,由于算法中需要对矩阵做求逆和相乘等运算,所以算法复杂度太大。新的基于分块的联合检测算法将矩阵分成了大小相等的块,虽然在块与块之间引入了噪声,但需要做分解以及相应的求逆运算的矩阵的规模完全取决于子块的大小,这将明显降低算法的复杂度,使该算法适用于TD-SCDMA下行链路。
参考文献
[1]IMT-2000 CDMA TDD[S].
[2]KLEIN A, KALEH G K, BAIER PW. Zero forcing and minimum mean-square error equalization for multi user detection in code-division multiple-access channels [J]. IEEE Trans. Veh. Technol, 1996, 45(5): 276~287.
[3]KLEIN A. Data detection algorithms specially designed for the downlink of CDMA mobile radio systems[A]. IEEE 47th Vehicular Technology Conference[C]. USA:Phoenix, Arizona,
1997.203~207.
[4]KANG, SH-L, QIU, ZH-D, XIAO, Y. Performance of active codes detection algorithms for the downlink of TD-SCDMA system [J]. IEEE International Symposium on Circuits and Systems, 2002, 1: I/613,I/616.
[5]ANTHONY D W. Detection of signals in noise[M]. London: Academic Press, 1971.
[6]THEODORE S R. Wireless Communications Principles and Practice [M]. Beijing:Publishing House of Electronics Industry, 1998.
[7]Radio Transmission and Reception V4.0.0 2001-03, IMT-2000 CDMA TDD standards[S
[1]IMT-2000 CDMA TDD[S].
[2]KLEIN A, KALEH G K, BAIER PW. Zero forcing and minimum mean-square error equalization for multi user detection in code-division multiple-access channels [J]. IEEE Trans. Veh. Technol, 1996, 45(5): 276~287.
[3]KLEIN A. Data detection algorithms specially designed for the downlink of CDMA mobile radio systems[A]. IEEE 47th Vehicular Technology Conference[C]. USA:Phoenix, Arizona,
1997.203~207.
[4]KANG, SH-L, QIU, ZH-D, XIAO, Y. Performance of active codes detection algorithms for the downlink of TD-SCDMA system [J]. IEEE International Symposium on Circuits and Systems, 2002, 1: I/613,I/616.
[5]ANTHONY D W. Detection of signals in noise[M]. London: Academic Press, 1971.
[6]THEODORE S R. Wireless Communications Principles and Practice [M]. Beijing:Publishing House of Electronics Industry, 1998.
[7]Radio Transmission and Reception V4.0.0 2001-03, IMT-2000 CDMA TDD standards[S
此内容为AET网站原创,未经授权禁止转载。
