为了在已有模拟信道下提高数据传输效率,各种传输技术被广泛使用,而探寻新的通过压缩带宽来提高数据传输效率的方法倍受关注。近年来,甚小频移键控(VMSK)调制技术发展飞速,其频带利用率已达到15 bit/(s·Hz)。2001年,Sayhood K H和吴乐南提出了一种新型的采用类正弦波调制的VMSK,这种VMSK具有较高的频带利用率,较高的信噪比和较低的误比特率。而最小波形差键控(VWDK)是从VMSK的类正弦波调制;发展起的,一种超窄带(UNB)载波调制技术。它通过对一个波形参数的调控,实现带宽效率与解调性能之间的折衷。本文通过对VWDK
原理的深入研究,表明了理论与仿真结果的一致性,从而验证了VWDK高频带利用率的可行性,并给出了VWDK传输系统的设计方案。
1 VWDK的原理与仿真
1.1 VWDK调制理论来源
要提高频带利用率,就要在单位频带内传输更高的数码率。带宽最窄的信号形式是正弦波。一个纯粹正弦波,在频域就是一根非零频谱线,能量高度集中,理论上带宽为0,当然也无法传递任何有用信息。假设该正弦波的频率保持不变,波形略微抖动,则其频谱能量仍高度集中在载频的谱线上,但两旁会出现与随机抖动相对应的连续谱,此外在载频的谐波处也会出现离散的谱线,这是信号分析的结果。由于波形的抖动较微小,连续谱和谐波离散谱的能量远低于载频能量。如果载波波形的微小抖动受控于有用信息,即可实现频谱利用率很高的调制。因此“最小波形差键控”(Very-minimum Waveform. Difference Keying简称VWDK)的高效调制方式由此而来。
1.2 VWDK调制原理与实现
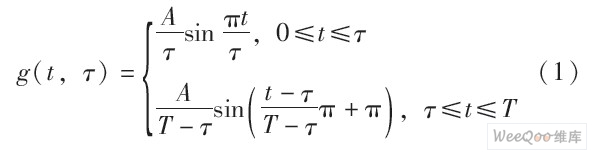
VWDK是对等概率二进制信息进行最小波形差键控的调制技术。原理概括如下:遇到逻辑“1”,在时间间隔T内发送波形g1(t),而遇到逻辑“0”,则在T内发送波形g2(t)。其中,g1(t)=g(t,τ),g2(t)=g(t,T,-τ),g(t,τ)定义与波形如图1所示。

图1 VWDK波形模型

其中,T为信号波形的周期,同时也是信息的符号宽度和码元宽度;而f=1/T则为信号的波形频率,在数值上也等于码元的传输速率;波形分两段分别定义,每段都是类正弦波的半个周期,但是幅度分别为
,周期为2τ和2(T-τ)。
1.3 VWDK的功率谱与仿真图
调制信号的功率谱直接决定其传输带宽及带宽效率。若令τ=əT,而“ə”作为波形调控参数就直接影响着VWDK已调波的功率谱形状及相应的传输带宽。当ə→0时,已调波的能量越来越分散,带宽越来越宽;而当ə→1时,已调波的能量越来越集中,带宽越来越窄。功率谱的表达式如式(2)所示,图2为取不同值时VWDK已调波的功率谱估计。


图2 ə在0.2-0.9时VWDK的功率谱与仿真图
2 VWDK的传输系统
VWDK的传输系统分为调制系统和解调系统,分别如图3和图4所示。调制系统工作原理:发送端直接由图1表达式的一个周期内的已调波形g(t,T)和g(t,T-τ)的离散采样值预先保存在存储器内,然后在欲传输的信息序列的控制下按照时钟发生器提供的采样频率来选择对应的g(t,τ)或g(t,T-τ)波形样本;选中的调制波形经滤波器滤波后,由DAC直接转换成模拟的已调波输出。

图3 VWDK调制系统

图4 VWDK解调系统
解调系统工作原理:失真的VWDK接收信号经过必要的放大后由ADC转换为数字信号,经过逆滤波器的数字滤波后,送入相干解调器,完成对相应“0”、“1”序列的解调
3 数值分析
由于VWDK是一种载波调制方式,信息速率可以等于载频,理论上可以达到射频载波的频率。即使在相对容易实现的中频上进行处理,也能得到几十kb·s-1、数百kb·s-1的传输码率。频带利用率,就是在单位频带内传输的数码率,单位为b/(s·Hz)。若信号的频率f=1/T=15 kHz时,数码率为15 kb·s-1,若信号的带宽为200~300 Hz,由频带利用率=数码率/带宽,即频带利用率可以达到50~75 bit/(s·Hz)。而当f=20 kHz时,调制效率可达100 bit/(s·Hz),甚至更高。
4 结束语
VWDK是一种载波调制方式,信息速率可以等于载频,又由于传输信号的波形非常接近正弦波,占用带宽很窄,可以实现超窄带的高速数据传输。由于发送端直接将调制波形的数字样本经D/A转换后输出,而接收端直接经A/D后解调输出,整个系统实现全数字化处理,容易集成。对于VWDK调制技术,只需改变一个参数,就可以控制信号带宽,而调制与解调方式不变,系统控制灵活。虽然VWDK可以使调制效率比以往有较大提高,具有广泛的应用前景。
