0 引言
在电化学、核聚变以及励磁等大型变换装置上,都存在多个电力半导体器件(如整流管、晶闸管以及其它新型电力半导体器件等)的并联问题,从线路应用的角度,已取得了许多成功的经验[1]~[6],其中文献[1]和[6]还从均流系数的角度,给出了对器件的要求。然而从器件及其筛选匹配方面,我们认为还有进一步的探讨和研究的必要。从事器件应用的,注重器件的内在性能;从事器件设计的,注重线路对器件的要求,两方面的结合是提升器件性能的最近之路。近年来,我们在解决器件的均流问题上,应用户的要求,作了一些尝试,取得了一些经验,这些经验是双方共同努力的结晶。本文就是这些点滴尝试经验的说明。
1 器件均流问题的提出
当输出电流容量的要求高于单个器件的最大可用电流时,就必须采用多个器件并联;对于一些特殊的应用场合,如绝对不允许有因质量问题而出现停电和设备停止运转时,往往也采用多个器件并联,这样即使有10%~20%的器件,或支路出现问题,也能确保运转工作正常进行。
整流二极管和晶闸管等双极性器件,其通态伏安特性均表现出温度升高而压降曲线减小的特点,即所谓负电阻温度系数,而负电阻温度系数的器件是很不利于并联的,这就更增加了并联均流的难度[7]。
要进行多个电力半导体器件的并联,就必须认真解决均流问题。器件均流问题还可细分为动态均流和稳态均流。
所谓动态均流是指由断到开,或由开到关情况下的均流。前者是主要的,后者往往可以不做考虑。由断态到通态解决的是同时触发开通的问题,以晶闸管为例,只要是同一批次的器件,开通延迟时间的误差都在1滋s之内,而整个开通延迟时间才是几滋s,因此要保证动态均流,就要注意:
1)将门槛电压VTO尽量选低些[4];
2)确保门极触发脉冲的幅度(例如应用时给定的触发电流Igm等于器件触发电流Ig的5倍)和宽度(例如100 滋s),特别是脉冲前沿的陡度(例如0.1滋s)[5],则动态均流是有保证的。
所谓稳态均流就是通态均流,也是最主要的均流问题。站在应用的角度,主要的均流措施有小电流应用中的电阻均流,大电流应用中的电抗器均流,总之,都是被动的并以额外附加一些电功率为前提。
不言而喻,之所以有不均流现象,是由于器件的不同通态参数引起的,只有把握好关键的器件通态参数这一关,才是抓住了并联均流的主要矛盾。这一现象如图1所示。

0 引言
在电化学、核聚变以及励磁等大型变换装置上,都存在多个电力半导体器件(如整流管、晶闸管以及其它新型电力半导体器件等)的并联问题,从线路应用的角度,已取得了许多成功的经验[1]~[6],其中文献[1]和[6]还从均流系数的角度,给出了对器件的要求。然而从器件及其筛选匹配方面,我们认为还有进一步的探讨和研究的必要。从事器件应用的,注重器件的内在性能;从事器件设计的,注重线路对器件的要求,两方面的结合是提升器件性能的最近之路。近年来,我们在解决器件的均流问题上,应用户的要求,作了一些尝试,取得了一些经验,这些经验是双方共同努力的结晶。本文就是这些点滴尝试经验的说明。
1 器件均流问题的提出
当输出电流容量的要求高于单个器件的最大可用电流时,就必须采用多个器件并联;对于一些特殊的应用场合,如绝对不允许有因质量问题而出现停电和设备停止运转时,往往也采用多个器件并联,这样即使有10%~20%的器件,或支路出现问题,也能确保运转工作正常进行。
整流二极管和晶闸管等双极性器件,其通态伏安特性均表现出温度升高而压降曲线减小的特点,即所谓负电阻温度系数,而负电阻温度系数的器件是很不利于并联的,这就更增加了并联均流的难度[7]。
要进行多个电力半导体器件的并联,就必须认真解决均流问题。器件均流问题还可细分为动态均流和稳态均流。
所谓动态均流是指由断到开,或由开到关情况下的均流。前者是主要的,后者往往可以不做考虑。由断态到通态解决的是同时触发开通的问题,以晶闸管为例,只要是同一批次的器件,开通延迟时间的误差都在1滋s之内,而整个开通延迟时间才是几滋s,因此要保证动态均流,就要注意:
1)将门槛电压VTO尽量选低些[4];
2)确保门极触发脉冲的幅度(例如应用时给定的触发电流Igm等于器件触发电流Ig的5倍)和宽度(例如100 滋s),特别是脉冲前沿的陡度(例如0.1滋s)[5],则动态均流是有保证的。
所谓稳态均流就是通态均流,也是最主要的均流问题。站在应用的角度,主要的均流措施有小电流应用中的电阻均流,大电流应用中的电抗器均流,总之,都是被动的并以额外附加一些电功率为前提。
不言而喻,之所以有不均流现象,是由于器件的不同通态参数引起的,只有把握好关键的器件通态参数这一关,才是抓住了并联均流的主要矛盾。这一现象如图1所示。

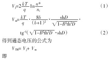
2 通态理论和基本特性参数
多数电力半导体器件的通态伏安特性曲线都可用发展了的赫莱特(Herlet)关系式[8]来表征,即瞬时通态电压VTM表示通态结压降、通态体压降、以及接触压降之和。对于一个制作精良的器件,一般可以忽略接触压降(接触压降是符合欧姆定律的,即使制作水平差,也很容易将它筛选出去),由通态结压降Vj、通态体压降Vm公式


公式(3)是一个复杂的函数形式,通态电流对通态电压的重大影响是隐含在其各个参量上的。
尽管公式(3)的函数形式很复杂,但在充分考虑载流子间散射效应、俄歇复合效应、端区复合效应后,按照一定的程序,完全可以计算出VTM,并且是理论符合实际的通态伏安特性曲线,如果并联器件都取接近的通态伏安特性曲线,那么均流问题会解决得很好。
还可以将复杂的公式(3)表征的函数,用最简单的函数形式,如0、0.5、1 次幂指数和一个简单对数来近似描述,写成如下形式
![]()
式中4 个常数A、B 、C、D 完全可以用4 个测试点的数据代入,通过解行列式而得到VTM。
很显然,运用公式(3)或(4)可以得到通态参数的精确数据和实测结果,但还不方便用于并联均流匹配工作。
为此在器件额定工作点附近做直线近似,寻找一个规范的解决办法。利用图2,简单介绍这种处理问题的规范的方法。
图2 中,V1 是0.5ITM 下的峰值电压,V2 是1.5ITM 下的峰值电压,VTM 是ITM 下的峰值电压,ITM为通态峰值电流,ITM=3(或仔)IT AV,IT AV是正半波平均电流。
由图2很容易得到下式关系式。
通态峰值电压

这里,通态门槛电压VTO,是由通态近似直线与电压轴的交点所确定的通态电压值;通态斜率电阻rT,是由通态近似直线的斜率计算出的电阻值。通态门槛电压VTO,通态斜率电阻rT是衡量通态特性好坏的标志性参数,是通态特性本质的反映。
几乎所有电力电子的应用书籍在并联均流上,都有一句“尽量选用特性参数一致的器件”。器件参数那么多,仅通态参数就有几十个,究竟如何选取呢?有的选取以通态平均压降VT一致作为均流匹配的原则,有的选取以额定通态峰值电压VTM一致作为均流匹配的原则,实践表明其局限性都很大。我们认为依据用户实际工作电流,选取通态门槛电压VTO值、通态斜率电阻rT值一致才是并联器件均流的正确匹配原则。
用公式(3)或(4)计算,或者直接用峰值电压测试仪测出V1、V2 值,代入公式(5)~(7),立即得到VTO 值、rT值以及VTM 值,选取VTO、rT接近的一组就是均流匹配成功的一组。


3 测试结果和计算匹配



应用户要求,尚需给出在ITM=300 A,即ITAV=100 A时的并联均流匹配的分组结果,这是实际使用中的真实的常规情况。为此,以ITM=300 A为中心,分别以150 A和450 A作为新的V1、V2值的测试或计算电流,利用表1 中的450 A的结果,再加150 A的结果,如表2 所列。在表2中的参数上加了角标O,是为了和表1中的参数符号相区别,表2中的数据一目了然,无需多加说明。

4 结语
1)由表1 到表2,从I TM=900 A到ITM=300 A,也即从通态伏安特性曲线的高电流段下降到低电流段,反映结电压的门槛电压是降低的,这正是并联均流所需要的。而反映体内压降的斜率电阻是稍许增加的,但这并不影响并联均流。出于并联均流的需要,在产品样本中,给出两套通态门槛电压、通态斜率电阻值是完全必要的,有的国外样本就是这样做的。
2)两个表中的数据都是近期在联均流测试中获得的数据,看上去有些理想化,不够典型,但作为并联均流测试筛选匹配器件的方法是很清晰的。通常认为并联均流的器件必须选同一批次的,因而测试筛选匹配工作容易得多,即免去了开通时间一致的匹配筛选。器件并联均流中的测试(或计算)电流的选取必须由用户的实际电流而定,这是特别要注意的前提条件。
3)上述并联均流的方法是经过多次失败总结而得来的,我们曾采取的方法有:
(1)将注重点放在开通参数上,如确保触发参数一致,然而,当在应用中确保了门极触发脉冲的幅度和宽度后,其对并联均流的影响很小;
(2)将注重点放在通态平均电流IT AV和通态平均压降VT上,按文献[1]提供的均流系数的方法进行匹配筛选,虽然通过了用户的应用要求,但总还不够理想,这是因为通态平均压降VT 反映的是稳定后的平均效果,这样变化因素更多更难控制,不如采用瞬时值优越;
(3)采用额定通态峰值电压VTM值进行匹配筛选,仅以一点值且往往又不是真正的工作点值为筛选参数,所以其局限性更大。
4)一台整机的均流器件的更换,原则上是采用同一批次器件。如果更换为不同厂家的产品,就必须在同一条件下,选通态门槛电压、通态斜率电阻值完全近似的,且还必须测试开通时间并匹配,否则并联均流会失败。这方面的教训也很多。
5)大量器件(如8个及以上)在一条线上并联装配,因磁场作用,往往出现边缘电流集中的问题,由于和现场关系密切,对用户来讲,会认真解决的。
6)实践反复证明,依据用户的要求,采用V1、V2值的测试(或计算)确定通态门槛电压、通态斜率电阻值,进而匹配均流器件是一个方便简捷实用的好办法。按照这样的均流匹配方法,在一定条件下,省掉电抗器,实现了晶闸管的直接并联。
参考文献
[1] 肖芳桂. 三万安培晶闸管''三合一'' 整流装置[J]. 电力电子技术,1984,1:16.
[2] 肖芳桂. 多串多并大功率晶闸管变流装置主电路元件的合理设计问题[C]. 第三届电力电子学会论文集,上海. 1986:123-125.
[3] 莫正康. 半导体变流技术[M]. 北京:机械工业出版社,1992:90-92.
[4] 田上芳朗等. 大容量变换装置中多个元件串并联的问题[J]. 国外电力电子技术,1983,2:45-49.
[5] 维捷斯拉夫·本达等. 功率半导体器件- 理论及应用[M]. 吴郁等译. 北京:化学工业出版社,2005:5,319-32.
[6] 陆地.浅谈并联硅器件的均流问题[R].五届一次理事暨报告会,1999,5.
[7] 王正元. 世纪更迭中的电力电子器件[R]. 五届一次理事暨报告会,1999,5.
[8] A Herlet. The Forward Characteristic of Silicon Power Rectifiers at High Current Densities [J]. Solid_State Electoron,1968,11(No.8)717-742.
