摘要:弱信号环境下快速有效的C/A码捕获算法,在高灵敏度GPS接收机中占据着重要地位,同时也是高灵敏度GPS接收机实用化的关键。通过对捕获信号相关幅值的统计特性分析,从理论上揭示了微弱GPS信号难于捕获的根本原因,并论述了当前主要的数据累积方法的利弊。通过对GPS系统和导航电文格式的分析,将快速相干累积与卫星位置预测相结合提出了新的GPS微弱信号捕获算法。理论分析和仿真结果表明了本算法的可行性,在信噪比SNR为-43 dB时可以稳定地捕获GPS信号。使用实际数据测试表明,该算法能明显增加捕获到的卫星数量。
关键词:全球卫星定位系统;微弱信号捕获;帧同步码;相干累积
0 引言
当前GPS作为全球性卫星导航系统的应用范围越来越广,而其在弱信号环境下的接收技术研究,受到紧急救援和未来军事需求的刺激已经成为研究热点。其中,高灵敏度接收技术在GPS接收机中的应用,由于不受环境和条件的限制尤为受到重视。在高灵敏度GPS接收机中,由于捕获算法处在基带处理的最前端,因此高效的微弱GPS信号捕获算法是提高高灵敏度GPS接收机性能的关键。通常的弱信号环境比室外信号强
度低约20~30 dB,载噪比小于28 dB-Hz,故被视为弱信号,高灵敏度GPS接收机主要通过信号处理算法来获得高的信号处理增益。本文分析了主要信号累积技术的优缺点,讨论了弱信号环境下GPS信号检测值的概率统计分布特性,在此基础上结合快速相干累积算法,提出了利用帧同步信息的微弱GPS信号捕获算法,并分析了其可行性。通过仿真验证和实际数据测试,证明算法可行有效。
1 GPS信号模型及特性
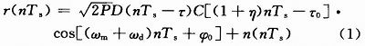
实际到达接收机的中频数字信号中包含着L1及L2载波的完整信息,在弱信号的C/A码捕获研究中,忽略P码及L2载波进行分析,可采用下式:

式中:为信号幅值;D(·)为数据位;τ为数据位延迟;C(·)为PRN码;η为码速率多普勒变化率;τ0为输入信号的码相位延迟;ωm为载波标称频率;ωd为载波多普勒频移;φ0为载波初始相位;n(·)为等效输入的带限白噪声。
按照基本的捕获流程,接收的数字中频信号经过载波剥离和C/A码进行相关,再进行相干累积和非相干累积后输出一个幅值V,当幅值V超过预定的捕获门限时判决捕获成功。其中,信号经过相干累积后I,Q支路可表示为:

式中:a为信号的幅值;τp为本地搜索C/A码与接收C/A码之间的相位差;fe为接收载波与本地载波之间的频率差;φe为两载波之间的相位差;Tcoh为相干累积时长;nI和nQ分别代表I支路和Q支路上的噪声,其功率σn2为:
![]()
即噪声功率与相干累积时长成反比,从一个方面揭示了弱信号捕获算法中,相干累积能提高信噪比的原因。
理论上捕获门限可以根据虚警概率和信号检测幅值概率的分布关系,计算出理论上的捕获门限,但由于实际当中信号检测幅值的概率分布关系相当复杂,因而实际当中对捕获门限很少根据理论进行设置,而是通过相对捕获门限来完成捕获判决。
根据捕获幅值的统计特性可知,在弱GPS信号环境下根据单次的捕获结果进行门限判决,产生误判的概率非常大。如果对多次捕获的结果进行统计比较,进行相对捕获判决就可以克服这种不足,从而提高捕获算法性能。
2 信号累积算法性能分析
在微弱GPS信号捕获算法中,信号累积技术是提高处理增益的关键。当前提高信号处理增益的基本方法为信号累积技术,可分为三类:相干累积、非相干累积和差分累积。其中,信号经相干累积处理获取的增益效果最佳,但应用受到导航数据比特翻转的限制,如累积过程中遇到数据比特翻转性能会有所下降;非相干累积和差分累积的提出就是为了克服和减少这种影响,但需付出不同程度的信噪比损失作为代价,并且原始信号越差,它们的信噪比损失越大,因此只能与相干累积结合使用。目前微弱GPS信号的捕获算法均是以信号累积理论为基础,如半比特捕获算法和全比特捕获算法,通过估计数据比特跳变来进行长相干累积的捕获算法,以及在对三种数据累积技术分析比较的基础上提出相干累积与差分检测相结合的方法等,这些算法的改进均是为了提高对微弱GPS信号的捕获性能,使高灵敏度GPS接收机实用化。因而,在此尽量延长相干累积的时间,从而最大限度地提高信号的处理增益,捕获更加微弱的GPS信号。
2.1 新的快速相干累积算法
前面提到的相干累积算法,通常是将每1 ms的相关运算结果进行相干叠加运算,即进行多少次相干累积,便进行多少次相关运算。即便采用FFT算法,相关运算的运算量依然很大。在微弱GPS信号的捕获过程中,通常需要进行长时间的相干累积运算,以提高信号处理增益,因此这里采用文献提到的方法,先将信号进行叠加,再进行相关运算的方法来减少运算量。基本原理如下:
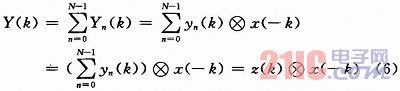
已知相关运算的卷积形式表达为:
![]()
式中:Yn(k)为第n次的相关值;yn(k)为第n毫秒接收到的原始中频数据;x(k)为本地C/A码与本地载波的组合,则N次相干累积的表示式为:

式中:z(k)为N段信号的累积。可见,经过变换后进行N次相干累积只需做1次相关运算,运算量减少近N倍。
为了对比快速相干累积的性能,使用信噪比为-31 dB的GPS仿真数据,进行10 ms的相干累积后,对GPS信号进行捕获。对于同一段仿真数据,分别使用传统相干累积算法和快速相干累积算法各运行10次,传统相干累积算法平均耗时2.01 s,快速相干累积平均耗时0.11 s,由此可见,快速相干累积算法的捕获速度提高显著。捕获结果分别如图1和图2所示。

为了便于比较快速相干累积和传统相干累积算法的差异,图1和图2中的幅值坐标,均以传统相干累积的捕获峰值进行归一化处理。
在上述仿真条件不变的情况下,多次运行仿真程序两种方法均可稳定地捕获到信号,但将两组捕获峰值进行对比,传统相干累积30次捕获结果的相关峰值的均值为12.507×10-9;快速相干累积算法的捕获峰值为10.742×10-9。相对于传统相干累积算法,快速相干累积的相关峰均值下降了14.11%。可见,快速相干累积算法的总体性能优越,但在提高运算速度的同时,捕获结果中的相关峰值略有降低,这是该算法为获得高效率而付出的微小代价。
3 弱信号捕获方案设计
通过对导航电文的格式和编码规则分析,可确定每6 s出现一次的帧同步信息始终为10001011,因而利用已知的具有良好自相关特性的帧同步信息进行弱信号捕获是一个理想选择。总体方案设计如图3所示。

算法中使用了相对捕获的概念,即通过对多次相关峰值的比较,作为粗捕获结果,以此来估计是否存在卫星信号,再根据粗捕获结果进行小范围内的精细捕获。同时利用文献中提出的数据比特翻转估计方法,再与帧同步相关运算相结合,从而使比特翻转估计精度大为提高,可实现更长时间的相干累积,获得较高的信号处理增益。算法突出的特点是捕获过程中对不同强度信号采用不同的捕获流程,强信号快速直接捕获,对相对弱的信号通过较长时间的累积来获得信号。
捕获方案基本流程如下:
(1)数据读取。将中频采样数据按固定的8比特160 ms的长度,逐次读取,每次延迟1 ms的数据位。
(2)快速累积。对数据进行交替半比特相干累积,并将结果分为奇偶两组。
(3)相关运算。将第(2)步所得两组数据分别与本地帧同步码进行滑动相关运算。
(4)码并行捕获。与帧同步码相关后的数据进行码并行捕获运算,尝试寻找接收数据的C/A码初相与载波频点。
(5)数据分析。估计数据比特的翻转位置,判断帧同步码是否出现。
(6)捕获判决。如果当前数据组的捕获峰值超过捕获门限,则输出对当前卫星的捕获结果;否则等待帧同步信息出现,再比较捕获峰值是否超过捕获门限。如捕获时间超过6 s,则结束对当前卫星的搜索。
(7)延迟控制。默认情况数据读取起始位置比上次延迟20 ms。当数据分析估计出数据比特翻转位置时,则根据估计结果,对读取数据的位置在默认值上进行整数个毫秒的调整。
(8)互相关抑制。当某颗卫星的检测信号峰值远远大于捕获门限时,则认为接收信号中存在着强卫星信号,为了减少该信号在捕获过程中对其他弱GPS信号的影响,在成功捕获该强GPS信号后,对其进行互相关抑制。
精细捕获是为了验证相对捕获的准确性,进一步提高捕获的精度。由于,当信号中出现帧同步码时才会有较高的相关能量值和峰值,因而进行的精细捕获所用数据是包含帧同步信息的一段,并且正确估计了比特翻转的位置,所以精细捕获就可以通过进一步延长相干累积时间来捕获较弱的GPS信号。
4 方案具体实现
4.1 可见卫星预测
GPS接收机冷启动捕获卫星信号时,搜索卫星是一个耗时的过程。弱信号环境下的卫星搜索将会耗费更多的时间,因而通过对卫星可见性的预测来减少搜索卫星的数目,对高灵敏度GPS接收机具有较大实际意义。
由于高灵敏度GPS的应用多数是低速运动的环境,加上当前GPS卫星轨道的稳定性大为提高。因而假定接收机在某个大的地域之内,根据已知的卫星历书(最长有效期为半年)得到GPS卫星的仰角,从而估计出可见卫星的颗数。根据仰角可得到最佳卫星搜索的次序,从而提高卫星搜索的效率。经过对卫星可见性的预测,仅需搜索十几颗卫星,比默认的盲搜索卫星的数目大为减少。
4.2 相干累积时长限制
由前面的式(2)和式(3)可知,接收载波与复制载波间的频率差fe会在检测量V中引入值为|sinc(feTcoh)|的损耗,这会增大信号检测的漏警率和降低信号捕获的灵敏度。通常将相干积分的频率误差损耗限制在3dB之内,此时对应|sinc0.443 |=0.7071,即|feTcoh|<0.443。在仅考虑多普勒频移造成的频率差时:

由此计算出相干累积时长Tcoh不应超过0.69s。
4.3 数据分析
本捕获方案中,通过对多段数据直接进行叠加,再利用帧同步信息的自相关特性来提高信号的处理增益,但未知数据翻转依然限制着相干累积的性能。根据文献提出的比特翻转估计方法,通过比较相关运算的幅值能量大小来估计数据比特翻转位置。

由图4可知,当对一组8 b数据进行交替半比特相干累积后,数据比特翻转要么在奇数组数据中,要么在偶数组数据中。对于存在数据比特翻转的数据组,其相关运算的幅值能量应当小于另外一组。
![]()
式中:pow(n)为第n组数据的相干累积后幅值能量。
由于帧同步信息具有自相关特性,当处理的一组数据中含有帧同步码时,捕获运算的相关幅值能量pow(n)应明显高于其他组。同时由于对接收信号进行了帧同步码和C/A码两级相关运算,捕获结果的峰值也应当高于其他数据组。因此根据pow(n)和捕获运算峰值的大小,可以在完成捕获的同时估计出帧同步信息的位置。
4.4 互相关抑制
目前主要的四类互相关抑制技术有:多门限检测法、多峰检测法、扣除法、子空间投影法。对互相关的处理思想,要么是判断相关结果主峰是否是由互相关引起的,从而决定对结果的取舍;要么通过一定的方法计算出强信号的互相关结果,进而从信号中消除互相关干扰的影响。文献提出的互相关减去法,都是基于对强信号相关值进行估计后,再将其从接收信号相关值中减去的方式来消除互相关的影响,需要计算强信号的多个相关值,计算量很大。扣除法则是在载波和伪码剥离前,基带数字信号处理模块先在接收信号中扣除强信号成分。该方法的思路和实现比较简单,可以利用后级跟踪环路的信息进行实现。
总体而言,在GPS弱信号捕获中,互相关干扰的抑制存在着较大的难度。由于本捕获方案中使用了多级的捕获门限设置,因而具有一定的抗互相关干扰的能力。所以在这里采用扣除法的思想,通过重构强信号的方法将接收信号中的强信号成分消除。互相关干扰消去法的基本原理如图5所示。

5 性能仿真与实测结果
在Matlab环境下进行仿真分析,可以准确地控制仿真数据的信噪比,从而准确地评估算法的性能。GPS数字中频的产生,噪声带宽Bn按C/A码信号频谱主峰带宽2.046 MHz选取,从而在信号中加入功率为-140 dBW的高斯白噪声,通过控制信号幅值产生任意信噪比的仿真信号。仿真信号的中频频率为1.25 MHz,采样频率为5MHz,捕获程序从仿真数据任意位置开始读取数据。当信噪比SNR=-42dB时,本方案对6s的仿真数据进行捕获。可看出,当捕获运算中没有进行数据分析和结果处理时,无法找到明显的峰值,如图6所示;通过数据比特翻转位置估计和数据分析,捕获结果可以获得明显的相关峰值,如图7所示。

信噪比为-43 dB时,当仿真中正确估计了数据比特翻转和帧同步信息位置时,捕获峰值达到设定的捕获门限,结果如图8所示。

采用NewStar210 GPS中频信号采样器,将普通环境下接收到的GPS卫星信号进行中频采样后,分别用普通捕获算法和本算法进行捕获。采用普通捕获算法对采集到的GPS信号进行捕获的结果如图9所示。当在采集信号中加入22 dBW的高斯噪声后,普通捕获算法的捕获结果如图10所示,而采用本文捕获方案的捕获结果如图11所示。
通过对比可以看出,在信号中加了仿真噪声后,在信噪比很低的情况下,使用普通捕获算法的接收机无法正常工作。而本文提出的弱信号捕获算法,可以稳定地捕获到低信噪比下的卫星信号,使接收机在弱信号下的定位解算成为可能。采用本算法后多捕获到的较弱卫星信号,可显著提高GPS接收机灵敏度,同时也可有效提高定位精度。
6 结语
通过理论分析、仿真验证和实际测试,证明本捕获方案优于同类方法,具有速度快和灵敏度高的特点,可稳定地捕获信噪比为-43 dB的微弱GPS信号。在低信噪比下,方案中的数据分析方法可估计出数据比特翻转和帧同步信息出现的位置,从而通过对数据读取位置的调整来提高信号处理增益。仿真结果显示,该捕获方案的捕获灵敏度在经数据分析和读取控制处理后,比未进行这些处理时提高2~3dB。
