雷电是十大自然灾害之一,随着经济和现代科学技术的发展,雷电灾害" title="雷电灾害">雷电灾害造成巨大的经济损失和人员伤亡,据有关资料统计,全世界每年因雷击造成的经济损失达10亿美元以上。雷电灾害是联合国国际减灾十年委员会公布的对人类威胁最严重的自然灾害之一。
随着部队信息化的发展,通信网络规模不断扩大,通信台站" title="通信台站">通信台站的数量也日趋增多,而且多数通信台站的电源线路和传输线路大都采用长距离架空线路,进入机房,增加雷击风险,导致雷击概率增多,通信设备损坏、通信中断,耗费了大量人力财力。尽管近年来我们采取了多种多样的防雷措施,耗费了大量人力财力,每年雷害造成的损失仍然很大。怎样才能有效地预防雷害,确保通信台站设备和工作人员的安全呢?多年来的工程经验告诉我们:必须根据通信台站的实际情况,在现场勘查的基础上设计有针对性的综合防雷系统,严格按照设计方案及标准规范施工。
1 雷电形式
雷电对通信设备具有很强的破坏性,主要有直击雷、雷电感应、雷电波侵入和地电压反击等四种形式。直击雷和感应雷是雷电入侵建筑物内电气设备的主要形式。
直击雷是指直接击在建筑物或其他物体上的雷电。由于受直接雷击,被击的建筑物、电气设备或其他物体会产生很高的电位,而引起过电压,这时流过的雷电流很大,可达几十千安甚至几百千安,这就极易使电气设备或建筑物损坏,甚至引起火灾或爆炸事故。当雷击于架空输电线时,也会产生很高的电压可达几千千伏,不仅会常常引起线路的闪络放电,造成线路发生短路事故,而且这种过电压还会以波动的形式迅速向变电所、发电厂或其他建筑物内传播,使沿线安装的电气设备绝缘受到严重威胁,往往引起绝缘击穿起火等严重后果。
感应雷是指当雷云来临时地面上的一切物体,尤其是导体,由于静电感应,都聚集起大量的雷电极性相反的束缚电荷,在雷云对地或对另一雷云闪击放电后,云中的电荷就变成了自由电荷,从而产生出很高的静电电压(感应电压),其过电压幅值可达到几万到几十万伏,这种过电压往往会造成建筑物内的导线、接地不良的金属物导体和大型的金属设备放电而引起电火花,从而引起火灾、爆炸、危及人身安全或对供电系统造成的危害。另一种情况是,在雷电闪击时,由于雷电流的变化率大而在雷电流的通道附近就形成了一个很强的感应电磁场,对建筑物内的电子设备造成干扰、破坏,或者使周围的金属构件产生感应电流,从而产生大量的热而引起火灾。另外,当架空线遭受直击雷或产生感应雷,高电位便会沿着导线、电源线以及信号线侵入变电站或建筑物内,这种雷电波侵入也会对电气设备造成危害或使建筑物内的金属设备放电,引起破坏作用。
直击雷是雷电直接击中线路并经过电气设备入地的雷击过电流;感应雷是由雷闪电流产生的强大电磁场变化与导体感应出的过电压、过电流形成的雷击,感应雷是由遭受雷击电磁脉冲感应或静电感应而产生的,形成感应雷电压的几率很高,对建筑物内的电气设备,尤其是低压电子设备威胁巨大,所以说对通信台站内设备的防雷保护的重点是防止感应雷入侵。
雷电波入侵" title="雷电波入侵">雷电波入侵是指雷击发生时,雷电直接击中架空或埋地较浅的金属管道、线缆,强大的雷电流沿着这些管线侵入室内。
由图l可以看出,雷电波侵入的方式通常有三种:其一是直击雷击中金属导线,让高压雷电波以波的形式沿着导线两边传播而引入室内;第二种是来自感应雷的高电压脉冲,即由于雷云对大地放电或雷云之间迅速放电形成的静电感应和电磁感应,他们在各种电线中感应出几千伏到几十千伏的高电位,以波的形式沿着导线传播而引入室内的;第三种是由于直击雷在房子或房子附近入地,因其通过地网入地时,在地网上会发生数十千伏到数百千伏的高电位,这个高电位通过电力线的PEN线、防雷接地线和通信系统的地线,也是以波的形式传入室内,并沿着导线传播到远处,殃及更大范围。

2 雷电波入侵的特点及危害
对于通信台站来说,大多数线路都是长距离引入机房,本文由于篇幅限制,主要对线路上的雷电波入侵进行阐述。
对于通信台站,直击雷是指雷电直接击中了架空电线(信号线)或埋地线缆,雷电流以l/20~1/2的光速以波的形式向线路两端,对设备及构成危害。雷击时电流高达几十千安,最高达200~300kA,一般在20~40kA,其时间甚短,一般仅为10~100μs。
雷击架空线路导线产生的直击雷过电压:
Us≈100I
式中:
Us一雷击点过电压最大值(kV)
I一雷电流幅值(kA)
实践证明,在埋有线缆的地方,沿线缆埋设的线路落雷率要比其他地方落雷率高,在土壤电阻率高的地方尤其明显,这是由于在土壤中埋下一条线缆就相当于土壤中有一条土壤电阻率特别低的带,在土壤电阻率突变的地区受雷击率特别高,这便是雷电直击线缆的原因。
闪电落地点会形成半球形(如果土壤电阻率均压)。导电区域出项陡峭的电位降。当土壤电阻率为100Ωm、雷电流为100kA时,导电半球的半径的典型值为 2~3m;当电阻率为10000Ωm时,半径将增大10倍。在地下若埋有电缆,则雷击点会对电缆放电,在土壤电阻率为100Ωm时,放电距离为6m;在土壤电阻率为1000Ωm(一般高山站点的土壤电阻率都比较高)时,放电距离为12m以上;聚乙烯电缆护套的击穿电压约为lOOkV数量级。对于50kA峰值的雷电流,当土壤电阻率为1000Ωm时,距离雷击点80m处即可达到上述的击穿电压值,足以破坏绝缘护套,雷电的高电压就进入芯线,而沿电缆芯传播,造成电缆的损坏。如果雷击点离机房近的话,还会造成机房内设备的损坏。
雷云在起电和先导放电的过程中,对架空线会产生静电感应,使之产生异性静电位,一旦雷云对地放电,导线中的束缚电荷成为自由电荷,以冲击波的形式对地向线路两端,电荷所形成的电流(I)乘以导线的波阻(Z),即为雷电感应电压。
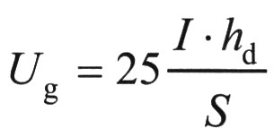
架空线(无屏蔽)雷电感应过电压如图2所示。

感应过电压幅值可用下式表示:

式中:
Ug一感应过电压幅值(kV)
I一雷电流幅值(kA)
hd一导线距地高度(m)
S一雷击点与导线垂直距离(m)
从图2(b)可知即使雷云没有放电,仅在雷云起电和过程中,也能在绝缘良好的短电话线路上产生10~20kV的感应过电压。相距大约为25~3000m的对地雷击,一般将在架空电话线路中感应出高于1000V的过电压,这必将产生相当大的危害。
除了静电感应的电荷直接向线缆流入雷电流以外,由于云间放电,通过电磁感应,也能在线缆上诱发感应电压和电流。如果放电通道与线缆线路相平行,由于电磁感应,将使线缆的导体产生一定的纵向电动势,并随之流过一定的电流。实际上线缆上的过电压冲击,绝大多数是感应产生的。但因其能量一般较小,电压低,电流弱,通常很少对线缆本身造成危害。只能对线缆相连接的设备构成危害。图2中可以看出(a)属于磁场感应,(b)属于电场感应。
综上所述,雷电可以通过雷电感应、雷电波侵入、雷电地电位升高对通信台站的各类设备系统造成严重危害。
3 通信台站目前线路雷电波侵入防护存在的问题
根据雷击事故统计表明通信台站的电源设备因雷击损坏所占比例为68%,而市电引入部分因雷击损坏所占比例更高达75.75%。大部分通信台站遭遇雷击后,配电箱、低压供电电缆及通信线路等都受到雷击破坏,导致设备毁损、屏蔽层击穿、系统终止等事故发生。
目前,经实际运行经验验证,由电源系统耦合进入的感应雷击造成设备的损坏占雷灾损失70%以上。因此,对电源系统的雷电保护措施是整个防雷工程中必不可少的而且是非常重要的一个环节。
1)电源线路保护不完善。除在开关电源内只带有C级通流容量20kA的交流电源防雷模块外,其他未采取任何防护措施。容易因直击雷或感应雷造成线路过压,损坏电源线路与之相联的设备;
2)部分通信台站,在电源线路的终端杠开始改为铠装电缆埋地进入配电房。电源铠装电缆在入室前铠装层未作接地处理。由于雷电流的高频趋肤效应,电缆感应的雷电流绝大部分均在铠装层寻找途径上泄放,由于铠装层没有接地,极易导致对地(或其他线路、设备等)放电打火,轻则导致电缆接头击穿短路,重则引起设备损坏,甚至导致火灾事故;
3)光缆长距离架空,部分在进机房前埋地距离很短,大部分没有埋地就直接接入室内综合柜内,光缆有铠装层但未采取任何接地措施,悬空。多数光缆中的加强筋在设备端也没有作好接地处理,同低压电缆一样,长距离架空容易遭受直击雷和感应雷,由于雷电流的高频趋肤效应,感应的雷电流绝大部分均在铠装层寻找途径上泄放,由于铠装层没有接地,极易导致对地(或其他线路、设备等)放电打火,轻则导致光缆接头击穿短路,重则引起设备损坏,甚至导致火灾事故烧毁光缆;
4)室内接地不完善。多数通信台站接地网做的比较规范,但是在接地引入线到接地汇集排接地处理不规范,接地线长度和粗细均不符合规范要求。直击雷引下线与机房接地引上线之间的距离没有达到规范要求最少相隔5一10米的要求。设备保护接地线较长且细,并与强电并行走线,容易造成雷电的二次感应
4 通信台站线路雷电波侵入防护方法
雷电感应高电压以及雷电电磁脉冲的防护是在入侵通道上将雷电过电压、过电流泄放入地,从而达到保护电子设备的目的。其主要方法是采用隔离、钳位、均压、滤波、屏蔽、过压与过流保护、接地等方法将雷电过电压、过电流以及雷电电磁脉冲消除在设备外围,从而达到保护各类设备的目的。只要设计合理、安装合格、各类浪涌保护器就能对雷电进行有效的防护。我们既要防止直击雷,也要防止雷电感应高电压及雷电电磁脉冲,二者有机结合,相互补充,构成一套完整的现代综合防雷体系,才能有效地防止雷击事故,减少雷击灾害,保护建筑物、设备和人身安全。
根据现场的情况,我们针对每个通信台站的不同情况采取针对性的解决措施。主要将采取等电位联接、区分雷电流引下线和保护接地引上线、正确设计和安装多级电源避雷器、建设合格地网等方法,对通信台站进行综合雷电防护。
1)电源系统防护的完善,根据通信台站的实际情况采取2~4级的保护。由于电源线是雷电通过电场感应而引雷入室的主要途径,即使是电源线入地进室,也不能完全解决雷电波入侵的问题,因此安装多级电源避雷器以抑制雷电波入侵是首要选择;
2)通信台站的交流供电系统应采用绝缘护套电缆穿钢管埋地、或采用金属铠装电缆埋地引入的方式,其埋地长度宜不小于50m。当变压器或电力线路终端杆与机房较近,电缆线地下埋设长度达不到50m时,可将电缆环绕机房迂回埋设。埋地的钢管或电力电缆的外护金属层两端应就近妥善接地,一端接变压器地网,另一端在进机房前可靠接地。另外,电缆外导体对内导体有静电屏蔽作用,电缆的外导体同内导体形成电容很容易将芯线上高频性质的感应电荷泄放入地,可一定程度限制感应雷电波侵入;
3)在电源低压架空线的终杆处(电力电缆与架空电力线连接处),做一组合格的地网,接地体宜采用辐射形或环形。将转地埋的铠装电缆的铠装层就近接入该地网中,同时在终杆处增加一组(3个)户外跌落式低压避雷器,以增强对来自低压架空输电部分的雷电泄放能力,提高低压线路侧的防雷保护。避雷针在接闪直击雷电流时,接地网会出现接地极上雷电流经电阻耦合的高电位引入情况,这就需要在线路进户处必须装设一组(3个)户外跌落式低压避雷器,将高电位钳制在安全值。按照DL/T499—2001《农村低压电力技术规程》零线在进户前作重复接地处理,将零线、避雷器的接地、电缆金属外皮、绝缘子铁脚、金具连在一起接地,保证在故障时保护中性线的电位尽可能保持接近大地电位;
4)电源线的进线在入室前,将电缆的铠装层做可靠接地,就近直接接入联合地网中,增强对感应雷的屏蔽和泄放;
5)通信光缆对机房设备造成的雷害通常是由光缆的金属铠装层或金属加强筋引起的。针对不同情况分别采取如下措施:
①无金属屏蔽层(无金属铠装层)光缆:可将光缆敷设在金属管内埋地进入机房,埋地长度宜不小于30m,一般可从线路终端杆开始埋设,埋地的金属管两端应就近可靠接地,终端杆处直接与终端杆的接地网相连,入户处直接与机房联合地网相连,将光缆铠装层上的感应雷电流直接泄放到地,将雷害的威胁直接阻止在室外不进室内,从而保证室内设备的安全;
②有金属屏蔽层(有金属铠装层)光缆:将光缆铠装层在终端杆和进机房前两端就近接地,终端杆处直接与终端杆的接地网相连,入户处直接与机房联合地网相连,将光缆铠装层上的感应雷电流直接泄放到地,将雷害的威胁直接阻止在室外不进室内,从而保证室内设备的安全;
③尽量将光数混合架或光纤终端盒设置在光缆进口处。对光缆金属加强芯的接地安装应作妥善处理。光缆安装时,应将光缆加强芯和光缆终端盒内专用的加强芯接地母排妥善连接,同时将加强芯接地母排直接与室外馈线接地排相连,布放的接地线宜不小于35mm2,且宜短、直。若与馈线接地排距离较长(大于2m),也可与室内接地汇集线就近连接。此外,加强芯专用接地母排应与光缆终端盒体和机架内金属体进行电气隔离。
(6)接地汇集线(汇流排)应布置在靠近避雷器的地方,以使避雷器的接地连接线最短。各楼层的分汇集线应直接与楼底的总汇集线相连。建议采用环形等电位连接,在机房内沿走线架和墙壁没置环形接地汇集线。环形接地汇集线应多点就近与地网连通,站内设备由环形汇集线就近接地。
(7)对于通信台站信号部分,有雷击损坏纪录的台站,在信号的接口部分还需要安装相应的信号类防雷器。
5 结论
雷电可导致的危害多种多样,目前可以说没有任何一种产品和单一手段可以全面防止雷电的危害。我们必须提高对防雷工作的认识,积极研究现代防雷新技术。每年在雷雨季节前,对系统进行检查维护,对运行中的防雷元器件进行检测。雷雨季节中要加强对防雷元器件外观的巡视,发现异常应及时处理。如果设备遭受雷击,应对损坏情况和原因进行调查分析,并根据分析结果,对防雷措施加以改进。同时应做好雷害的统计,为防雷系统的设计、改进和完善,积累必要的资料。
目前全国部队通信台站已数不胜数,通信台站正常工作关系到国防通信事业发展。通信台站防雷接地系统是保证通信网络畅通、人员和设备安全的重要环节,涉及通信台站信号线、土建、供电、设备安装以及周围建筑等许多方面,需要我们树立长远的战略目标,不断总结经验,从实际情况入手,不断提高防雷技术水平和通信台站的防雷能力。相信随着科学技术的进步,人类最终一定能找到有效利用雷电蕴藏着的巨大能量的途径,彻底战胜雷害。
