0 引言
LTE项目是3G的演进,始于2004年3GPP的多伦多会议。LTE不同于3G的码分多址传输技术,采用频谱效率更高的OFDM/FDMA技术,主要从降低每比特成本,扩展业务提供能力,灵活使用现有的和新的频段,简化架构,开放接口,实现合理的终端消耗等方面考虑。LTE系统的主要需求指标包括:在20 MHz系统带宽下,提供下行100 Mb/s和上行50 Mb/s的瞬时峰值速率;用户面延迟小于5 ms控制面延迟小于100 ms;有更好的移动性,针对低速移动(小于15 km/h)优化,高速移动(低于120 km/h)下实现高性能,在大于120 km/h时可以保持蜂窝网络的移动性;支持最大100 km的小区覆盖;灵活的频谱分配,支持最小1.4 MHz,最大20 MHz系统带宽。
在移动通信系统中,随机接入是用户终端和网络建立稳定连接,进行正常通信的首要步骤。随机接入可以分为同步随机接入和非同步随机接入,同步随机接入是在用户终端已经与系统取得上行同步时的接入过程,相反,非同步随机接入是用户终端尚未和系统取得或丢失了上行同步时的接入过程,因此非同步随机接入区别于同步随机接入的一个特点就是要估计、调整用户终端上行发送时钟,将同步误差控制在循环前缀(CP)长度之内。LTE系统通过物理随机接入信道(PRACH)完成非同步随机接入过程中随机接入前导(Preamble)的发送。3GPP物理层协议规范中针对不同的小区覆盖半径需求,设计了多种PRACH Preamble格式,其中Preamble Format 0,1,2,3对FDD LTE和TD-LTE是通用的,Preamble Format 4是针对TD-LTE特殊帧结构设计的,用于小区半径较小时的热点覆盖场景。
要获得LTE较高的技术需求指标,对基带信号的处理芯片提出了更高的要求。飞思卡尔半导体公司的MSC8156AMC是一种高密度、Advanced MezzanineCard(AMC)DSP平台,构建于3个MSC8156 DSP(18个SC3850 DSP内核)基础之上,可插入紧凑型MicroTCA底板。这种18 GHz的处理能力与无线基础架构应用的高度优化架构相结合,使其成为开发基于下一代无线标准解决方案的理想平台。
MSC8156AMC基带处理器卡的特性包括:
(1)处理器:多达3个MSC8156 6核StarCoreDSP,高达1.0 GHz的主频;
(2)内存:每个MSC8156有2×512 MB的64 bDDR3内存;
(3)4个串行Rapid I/O(SRIO)接口以及2个1000Base-X背板接口。
另外,飞思卡尔针对3GPP标准中定义的物理基带信道处理和无线传输信道功能,提供了LTE物理层支持软件库,包括一个定制的操作系统SmartDSP、驱动和主要的信号处理功能模块(包括:调制、信道编码、传输方案、MIMO/分集、信道估计、信道均衡等),这些信号处理模块基本覆盖了物理层上下行链路共享信道,它们以SmartDSP实时操作系统为参考实时运行。
1 PRACH信道处理
在LTE系统中,用户终端通过发送Preamble获取上行链路定时同步,完成与网络非同步随机接入。
LTE系统中PRACH Preamble采用Zadoff-Chu(ZC)序列,包括序列(Sequence)和CP两部分。CP的作用是抗多径时延扩展,最大限度地消除载波间和符号间的干扰。PRACH信道在LTE系统中是非常重要的信道,使用非常频繁,合理的PRACH信道可以提高整个网络的覆盖性能。因此,为了适应不同的小区覆盖场景,尽可能降低PRACH信道的资源开销,设计了5种Preamble Format,它们具有不同的CP长度和Sequence长度。
每个小区中存在64个可用的前导信号序列。64个序列中有两个子集,其中每个子集中的一系列序列将被作为系统信息信令的一部分。在执行基于竞争的随机接入时,用户终端随机选择一个序列随机接入尝试,只要其他的UE没有采用相同的序列,就不会发生冲突并且该尝试在很大概率上可以被eNodeB检测到。如果用户终端请求自由竞争的随机接入,需要选择自由竞争的前导信号。前导信号序子集的选择是由用户终端在上行共享信道(UL-SCH)发送的数据量定的。
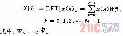
时间连续的随机接入信号s(t)定义如下:

式中:0≤t
,频域位置由参数
控制,表示为高层配置的资源块数目,△fRA是随机接入前导的子载波间隔,变量φ是一个固定偏移值,表示资源块中随机接入前导的频域位置。
从式(1)中可以看到,基带信号生成过程如图1所示。

由图1可知,时间复杂度比较高的运算是DFT和IDFT运算,下面重点分析这两个过程的优化处理以及在MSC8156AMC平台的具体实现方式。
2 基带信号生成
2.1 ZC序列的DFT
LTE系统中Preamble序列是由ZC根序列经过循环偏移生成的。循环偏移的ZC序列具有很好的特性:幅度恒定,可以有效地进行功率控制,并且可以维护上行链路的低峰均比特性;具有理想的自相关性和互不相关性,易于eNodeB获得准确的定时估计,并且相同ZC根序列生成的Preamble序列构成的多个随机接入尝试之间不存在小区间干扰。
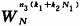
在时域上生成的ZC序列循环偏移之后,需要经过DFT处理变换到频域。DFT处理有很高的时间复杂度,以Preamble Format 0为例,ZC序列的长度是839,839点的DFT需要839x839次复数乘和838×839次复数加运算。ZC序列的定义如下:

在MSC8156 DSP上实现时,可以采用查表的方式,这样计算频域上每个点,只需要Nzc-1次复数加,大大降低了DSP负荷。
2.2 资源映射
FDD的一个上行子帧最多可以传输一个随机接入资源;而对于TDD的帧结构,一个子帧可以传输多于一个随机接入资源,不同的随机接入资源采用频分的方式。PRACH信道的时域结构由RA(Random Access)时隙的长度和周期两个变量定义,3GPP标准确定RA时隙长度为子帧长度,RA时隙所占用的子帧取决PRACH的具体配置。RA时隙发送周期取决于网络负载大小,小负载网络采用较长的发送周期,大负载网络采用较短的发送周期。为了使PRACH信道的发送在时域上尽可能的均匀,每个RA时隙发送一个随机接入资源。RA时隙的频域位置,是有两个可选择的。为了保证PUCCH的正交性和用户带宽的最大化,PUCCH被分配到用户频带的上下两端,PRACH放置在紧邻PUCCH的位置上(二选一)。
在频域内,PRACH占用6个物理资源块(PRB),1.08 MHz小区带宽,正好匹配LTE中可以操作的最小上行链路小区带宽。子载波映射时就是按照其时域频域资源位置来进行映射的,前导序列本身的长度为839或139,根据时域宽度(1 ms,2 ms及3 ms)进行重复匹配,然后按先频域后时域的顺序进行映射。
20 MHz带宽对应系统采样频率是30.72 MHz,以Preamble Format 0为例,序列部分长度是24 576Ts,PRACH映射时,上述得到的频域上的ZC序列按照从高层得到的配置参数进行映射。
2.3 IFFT处理
以Preamble Format 0为例,PRACH映射之后,根据3GPP物理层协议的规定,生成基带信号需要做24 576点的IDFT。MSC8156的MAPLE-B提供了硬件FFT/IFFT处理单元FFTPE和硬件DFT/IDFT处理单元DFTPE,使用FFTPE或DFTPE可以最大限度地提高运算速度,然而FFTPE一次最多只能做2 048点的FFT/IFFT,DFTPE一次最多提供1 536点DFT/IDFT,因此不能利用MSC8156的MAPLE直接做24 576点的IDFT。出于降低DSP负荷的考虑,软件实现方案也不可行,因为计算量非常大,这里只能采用其他方案。
Cooley-Turkey算法是一种最常用的FFT算法,这一方法以分治法为策略递归地将长度为N=N1*N2的DFT分解为长度分别为N1和N2的两个较短序列的DFT以及与旋转因子的复数乘法。它可以用于序列长度N为任意因数分解形式的DFT,这种算法称为混合基FFT。
Cooley-Turkey算法把N点的DFT分解为任意两个长度为N1,N2短序列的DFT,其中N=N1*N2。长度为N的序列x(n)的离散傅里叶变换可表示为:


假若要把N点长序列分为三段较短序列的DFT,只需把上述第二级FFT再以相同的方式分为两级,得到DFT表达式如下:

所以,PRACH发射端Preamble处理用到的24 576点IDFT可以利用上述混合基FFT算法实现。
具体实现方式如下:
(1)对输入信号取共轭;
(2)混合基FFT实现;
(3)运算结果取共轭,并除以序列长度N。
混合基FFT实现:N=24 576,分为N1=2 048,N2=4,N3=3,分为三级实现。第一级是对输入数据每隔12点抽取一次,共得到12个长度为2 048点的序列,对其分别做DFT;第二级是在第一级输出序列乘以旋转因子
的基础上,每隔6 144点抽取一次,共得到6 144个4点的序列,然后进行4点的DFT运算;第三级是在第二级输出序列乘以旋转因子
的基础上,每隔8 192点抽取一次,得到8 192个3点的序列,然后进行3点的DFT运算。
MSC8156提供了FFT硬件处理单元FFTPE,上述混合基FFT实现的第一级利用FFTPE做,第二级采用基4 FFT算法用汇编语言实现,第三级采用基3 FFT算法用汇编语言实现。FFT处理流程如图2所示。

2.4 插入CP
LTE上行系统在DFT-S-OFDM符号之间插入CP,如果用户之间的同步误差控制在CP长度之内,可以实现小区内用户之间的正交性。但是,在发起非同步随机接入时,UE只取得了下行时钟同步,尚未对不同UE由于与eNodeB间距离不同造成的上行时钟差异进行调整,不同UE的PRACH信号并不是同时到达eNodeB,这样就会造成小区内多用户之间的干扰。因此,随机接入突发前后需要额外的保护间隙,以消除用户之间的干扰。UE上行发送时是功率受限的,在大覆盖下需要较长的PRACH发送,以获得所需的能量积累,因而设计了多种随机接入前导格式,不同的格式有不同的CP长度,以适应不同的小区半径覆盖场景。
为了满足非同步接入的抗干扰性能,Preamble只占用随机接入时隙的中间一段,前后分别填充CP和GP(保护间隔)。DSP实现时把对应Pre-amble格式CP长度的Preamble序列的结尾部分填充到随机接入资源的开头,Preamble序列后面补零。
3 结语
对LTE物理随机接入信道的处理过程进行了详细的阐述,重点分析了基带信号生成过程中的时间复杂度较高的DFT和IDFT的处理方式。L-TE RA时隙长度为子帧长度,即要在1 ms内,完成一个随机接入资源的发送。MSC8156AMC平台是理想的LTE解决方案实现平台,提供了较为丰富的硬件加速器和优化的Intrinsic Instruction。实验表明,在MSC8156AMC平台上按上述信号处理方案生成PRACH基带信号,完全满足了系统的时序要求,是一种可行的处理方案。
