0 引言
近年来,超宽带作为无线环境下的一种新型的短距离、低功耗、高数据率传输方案而备受人们的广泛关注。与传统的通信系统不同,超宽带系统通过短脉冲来传递信息。在无线室内环境下,由于信道的多径效应而引起的时间弥散,超宽带传输的低功率信号经过多径信道被扭曲从而使接收到的信号产生错误。为了提高超宽带系统数据传输的可靠性、抗干扰性和降低误码率,把信道编码方案引入超宽带系统中。目前,许多信道编码技术,比如:RS码、卷积码、LDPC编码,已经被提出来提高信息传输的可靠性。尤其,由Berrou等在ICC’93的国际会议提出的Turbo编码在高斯白噪声信道下具有达到香农极限的错误纠错能力。
文献论证了Turbo信道编码在超宽带系统中的适用性及在高斯白噪声信道下的误比特率性能的改善度。文献提出了双二进制Turbo编码应用于超宽带系统的方案并验证了在无符号干扰(ISI)下误比特率性能改善。
本文将传统的Turbo编码和译码应用于跳时脉冲位置调制(TH-PPM)超宽带系统;通过模特卡罗(Monte Carlo)计算机仿真验证了,随着迭代次数的增加,在有符号干扰下,具有Turbo编码的超宽带系统在不同的超宽带实际信道模型下的误比特率性能。
1 系统模型
1.1 发射机模型
图1表示Turbo编码和TH-PPM调制的发射机模型。本发射机模型中,二进制信息比特首先经过Turbo编码,再经过跳时脉冲位置调制,即1,0分别被映射为+1,-1,最后通过一系列极短脉冲传递。二进制符号s=±1经过脉冲成形后,在Nf个时间帧内重复发射,每帧持续时间为Tf,所以符号持续时间为Ts=NfTf。

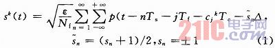
跳时脉冲位置调制是较早采用的超宽带无线电信号模型,其发送波形的数学表达式为:

式中:sn∈{-1+1)表示第n个传送符号;k表示多用户系统中的第k个用户;ε表示每个符号的能量;p(t)为具有单位能量的极短脉冲,即
,它是二阶高斯脉冲波形,其持续时间Tp<
,NhTc≤Tf;△是当传送符号sn=1时的位置偏移,它的选择决定着系统性能;
确定了第n个符号在第j帧内的脉冲的起始位置。
1.2 信道模型
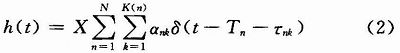
IEEE 802.15.3a采用基于S-V室内信道模型基础上的修正模型。IEEE模型的信道冲激响应可以表示为:

式中:X是对数正态随机变量,代表信道的幅度增益;N是观测到的簇的数目;K(n)是第n簇内收到的多径数目;ank是第n簇中第k条路径的系数;Tn是第n簇到达时间;τnk是第n簇中第k条路径的时延。
1.3 接收机模型
图2,图3分别给出了Rake接收机和Turbo译码的接收机模型及Rake接收机模型。在本系统模型中,只考虑单用户,则发射机发射的信号s(t)通过IEEE 802.15.3a超宽带信道后的接收信号可以表示为:

式中:ETX是每个脉冲的发射能量;n(t)是接收机输入端的高斯白噪声信号。

图3中的mi(t)称为相关掩模信号:
![]()
每个相关器与发射信号的一个多径分量匹配,即第i条路径的相关掩模mi(t)在时间上与发射符号的第i个时延多径分量是对齐,即:
![]()
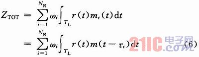
相关器组的输出送给合并器。根据接收机使用的不同分集方法,使用不同加权因子{ω1,ω2,…,ωNR}获得合并器的输出:

根据ZTOT获得的能量得到估计比特,然后经过Turbo译码器还原为传输的信息流。
2 Turbo编码与解码
图4,图5分别给出了Turbo码编码器和译码器的一般性结构。通常的Turbo码编码器由两个递归系统卷积码(RSC)编码器通过一个交织器并联而成,编码后的校验位经过删余阵,从而产生不同速率的码字。

Turbo码的译码方式主要有以下4种:最大后验概率(MAP)算法、Log-MAP算法、SOVA算法以及Max-Log-MAP算法。由香农信息论可知,最优的译码方法是MAP算法。为了降低复杂度而不损失太多的性能,本文采用了Log-MAP算法。
3 仿真结果与讨论
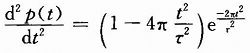
通过Monte Carlo方法仿真基于Turbo信道编码的超宽带系统的误码率性能。信道模型采用了IEEE802.15.3a的实际室内信道模型CM1~CM4,选择脉冲波形为二次导数的高斯函数:

其参数τ=0.2 ns。选择功率为-30 dBm,周期Tf=50 ns(存在符号间干扰),帧数目Nf=2和△=0.5 ns。选择一帧的信息位为400 b,编码速率为1/2,迭代次数为1~3,LOG-MAP算法译码。Rake接收机使用最大比率合并(MRC)的方法。
图6给出了无编码下信道模型CM1~CM4的误比特率性能,从图可知,误码率性能依次恶化,也验证了CM1~CM4模型的符号间干扰越来越大,时间弥散越来越大。

图7~图10分别给出信道模型CM1~CM4在无编码与Turbo编码下的误码率性能。

由图可知,在Turbo编码下的性能有一定的编码增益。在误码率10-3下,图7中Turbo编码大约有2~3 dB改善;随着迭代次数的增加,性能改善越明显;图8中迭代1次比迭代2次大约改善0.5~1 dB,然而也存在性能改善度的下降及收敛。
4 结语
本文分析和仿真了在不同无线室内信道下基于Turbo编码的超宽带系统的误比特率性能。仿真结果表明,该方案提供了可观的编码增益,随着迭代次数的增加,性能得到了改善,这对于将Turbo编码应用于超宽带系统具有参考性意义。
