一、引 言
智能天线或自适应阵列已得到广泛研究,并开始应用于移动通信.目前,由于体积和复杂度等因素,智能天线概念只适应于基站.已有大量文献报道了智能天线在上行信道的一些算法及容量分析,而对下行信道的波束形成的研究很少.基站在发送前是不能观察到下行链路的信道特征.在FDD双工方式,上、下行载波的频率差大于相干频带,上、下行信道是不相关的.因此,不能用上行信道直接估计下行信道,故将智能天线应用于下行链路是一个难点.近来,已提出了几种方法,如波束功换系统法,角度估计法[1],子空间影射法[4,5]和移动台反馈法[2]等.但这些文献都是针对TDMA系统的,在CDMA系统中,同频干扰数远大于一般天线阵列的自由度,因此,几乎没有文献报道CDMA中的下行链路的波束形成.只有文献[6]在假设已知下行信道特征的条件下,研究了CDMA系统的下行链路的性能,该方法仅仅保证移动台有最大接收功率,而忽略了对其他移动台的干扰.本文利用上行链路的接收数据来估计下行链路的信道相关矩阵,进一步估计出相对干扰总量.在保证一定的有效发送功率下,使得对其他用户的干扰总和(相对于其他用户的接收功率而言)最小.为了便于比较,我们称文献[6]中的方法为最大阵列增益法(MAG);而将本文中的方法称为最小相对干扰法(MRI).
二、信道模型
信号在移动台和基站之间的传输,一般要经过三种机制:路径损失、阴影慢衰落和多径快衰落.多径快衰落是运动用户的信号经许多局部特体散射而成,如图1所示.当基站采用天线阵列接收和发送时,多径快衰落可用矢量信道来描述:
(1)
其中,hi,ψi,φi,θi,fd分别为第i条路径的幅度(散射系数)、与移动台运动方向的夹角、相位、入射角和多普勒频率.hi满足:
(2)
ψi,φi为相互独立的随机变量,在[0,2π]均匀分布;a(θi)为阵列响应矢量,表示为:
a(θi)=[1,ej2πlsinθi/λ,…,ej2π(m-1)dsinθi/λ]T (3)
上式中m为阵元数,入射角θi有一角度扩散Δ,且在[θ0-Δ,θ0+Δ]均匀分布.显然,当路径数N很大时,v(t)为零均值,复高斯随机矢量,幅度的模满足瑞利分布.此外,信号还将受阴影衰落和路径损失的影响,用下式来表示:
(4)
其中,r(t)表示基站和移动台的距离,n为路径损失指数,一般取2.5~5,本文取4,s(t)为阴影衰落,满足对数正态分布,即
s(t)=10(ξ/10) (5)
其中ξ为零均值高斯随机变量,标准偏差一般6~12dB.本文取σ=8dB.

|
图1 局部散射模型
三、FDD下行链路发送 x(t)=wH.β(t).b(t).c(t).v(t)+n(t) (6) 其中b(t),c(t)分别为信息序列和扩频序列,设G为处理增益.因此,解扩后的信噪比为:
选择w使得下式最大化:
其中,β(t)在一段时间内保持不变.
2.上、下行信道的相关矩阵
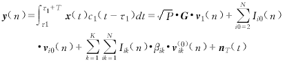
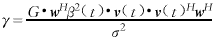
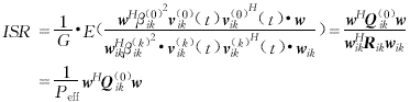
其中,f为载波频率.在同一时期,上、下行信道满足互逆定理,散射的路径数N和散射系数hi相同.因此,上、下行信道的相关矩阵的不同之处在于阵列响应矢量中的载波频率或波长.对此,文献[3]给出了两种方法:1)匹配阵列方法(matched array approach).独立设计接收阵列和发送阵列,使得两者的阵列响应矢量相同.2)双工阵列方法(duplex array approach).通过适当的变换补偿两者的差异.假设由上行信道的相关矩阵可精确估计下行信道的相关矩阵. wH.R.w=Peff (11) 其中R=E(v(t).v(t)H),v(t)为基站0到目标用户的发送阵列响应矢量.Peff定义为补偿了快衰落的平均效应后的有效发送功率.基站为每一用户的发送功率PT=‖w‖22.我们设置基站对所有的用户有相同的有效发送功率.在下文的分析中,不难发现,Peff的设置与同步干扰无关,而取决于白高斯噪声的功率.因此,基站0为一个用户发送信号的同时,对基站k中的用户(ik)产生的干扰信号可表示为: wHβ(0)ikv(0)ik(t-τ).b(t-τ).c(t-τ) (12) 而用户(ik)接收到的有用信号为: wHikβ(k)ikv(k)ik(t).bik(t-τik).cik(t-τik) (13) 因此,解扩后的相对干扰量(干信比)为:
其中, wHikRikwik=Peff (15) 因此考虑对其它所有用户的干扰,w满足下式:
其中,
而e使得
其中,
其中, Var(Iik(n))=G.P (20) 上式中G为扩频码的处理增益.由此可得解扩前、后的数据相关矩阵分别为:
假设平均接收功率P已知或不难通过测量得到,由式(21)、(22)可求出R1.同样可以求出同小区其他用户的信道相关矩阵Ri0,进一步求出上行信道的干扰矩阵:
由于CDMA系统的容量是干扰受限的,这里忽略了高斯噪声.因此,得到下行链路的相对干扰总量.
四、性能分析
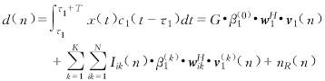
解扩后的信号为:
其中,β(0)1,β(k)1,v1(k),v(k)1(t)分别为用户1与所属基站和其它干扰基站的信道参数、阵列响应矢量,Var(Iik(n))=G.因此,得到信噪干扰比:
当上式中的分母的第一项(邻基站干扰)远大于白高斯噪声功率时,忽略白噪声的影响,且令:
得到平均信噪干扰比
五、有效发送功率的设置
六、仿真结果 |

|
图2 蜂窝仿真模型(1)上行链路干扰模型.扇区基站1a受小区5和6中用户的干扰;(2)下行链路干扰模型.扇区1a中的用户受扇区基站2a,3a,4b,5b,6c,7c的干扰.
(1)在扇区内按面积均匀分布随机产生一移动台的位置(r,θ),计算该移动台与干扰扇区基站的距离和入射方向.随机产生阴影衰落,计算路径增益β.一般来说,移动台产生是否合理与基站的切换方式下,上述在扇区内产生的位置是合理的.但在后一种切换的方式下,还应考虑阴影衰落的效果,即当移动台到所属基站比到任一干扰基站的路径增益要小时,重新启动步骤(1).本文考虑到CDMA系统中用户较多,减少仿真计算量,故仅考虑了基于几何切换的情况.在对于给定的角度扩散,按式(1)随机地产生矢量信道.对于来自邻小区的干扰用户或基站,其信号的入射角近似为零. |

|
图3 输出信噪干扰比的累积概率分布函数(a)角度扩散Δ=5度(b)角度扩散Δ=20度 |

|
图4 下行链路的中断率随用户数的变化曲线
七、结 论 |

(14)
(t)).式(14)的最后一等式是由于wik也满足第一条准则,即:
(19)
(21)
(24)
(25)
(26)
(27)