0 引言
电压闪变是衡量电能质量的一个重要方面[1]。随着国民经济的不断发展,电力系统负荷快速增长,其中冲击性负荷(诸如电弧炉、轧机、电焊机以及电力机车等)的广泛使用,使得某些供电系统的电压波动达到了不能容忍的程度。
目前,国内外采用的电压闪变测试方法主要有三种:半波有效值法、平方解调法和全波整流法[2]。但就实际电路而言,使用半波有效值法,即要将均方根值的计算时间准确地整定在半个工频周期上,实现起来相当困难;平方解调法和全波整流法检出的信号幅值与调制频率无关,因而必将引入检测误差,检测误差大小随调制频率增高而增大。另外,这三种测试方法都不适用于时变的电压闪变信号的检测与时频分析。本文提出了采用小波包分析和拟同步检波的电压闪变信号检测新方法。拟同步检波指的是用软件来模拟传统方法中的硬件电压同步跟踪设备,在这里使用两点法来确定采样信号的初相角,从而产生与采样信号同步的工频信号。小波包分析能够为信号提供一种更精细的分析方法,它将频带进行多层次划分,对多分辨分析没有细分的高频部分进一步分解,并能够根据被分析信号的特征,自适应地选择频带,使之与信号频谱相匹配[3]。本文采用小波包子带滤波器代替传统同步检波器中的低通滤波器,既可以检测出电压闪变的包络信号,又可以检测出电压闪变的高频细节,从而检测出电压闪变信号的突变时间。
1 正交小波包变换原理
1.1 小波包定义


1.2 L2(IR) 的正交分解


频带被分割成2k个子频带。
1.3 小波包的分解算法及重构算法

由式(3)
的分解算法为:

小波包分解过程如图1所示。其实际过程是通过一组低、高通组合的共轭正交滤波器 H、G不断将信号分割到不同的频带上。滤波器组每作用一次,信号长度减少一半。同样,由
重构
,其算法为:


2 电压闪变信号检测与时频分析新方法
2.1 电压闪变的数学模型
电压闪变是由电网电压的幅度起伏变化所引起的,所以电压波动与闪变信号用调幅电压表示[4]:

式中,ω为工频角频率;U为电网电压额定值;M为调频的幅度;其值一般为1%,最高可达10%;A(t)为包络信号,a(t)为调制信号。a(t)使用模拟电弧炉的调制信号:

式中,Ω为调制信号的基波角频率,m为谐波次数。
2.2 电压闪变信号的包络检波原理
传统的同步检波器由电压跟踪装置、相乘器、采样器和滤波器组成[5]。它的检波流程是:通过电压跟踪装置对待检信号进行跟踪,然后发出同相位波形,与待检信号一同送入相乘器相乘,再对其采样,用低通滤波器滤波分析。
本论文利用软件来替换电压跟踪装置、相乘器和低通滤波器等硬件设备,实现检波功能。检波流程如下:
①对待检信号f(t)进行采样,送入微机;
②利用两点法鉴别采样信号的初相角θ,计算同步电压U(t)=cos(ωt+θ);
③计算x(t)=f(t)*U(t);
④用小波包滤波,提取闪变包络信号和高频信号进行分析。
2.3 同步电压信号的确定
用小波或小波包直接对采样信号分解分析时,由于闪变信号的频率范围为0.01-25Hz,幅值小于基波幅值的10%,所以受基波干扰很大[6]。把同步电压同采样信号相乘,即可将电压闪变信号的频谱分别向低搬移到零频率附近和向高搬移到100Hz附近,从而分离出电压闪变的包络信号。
对于同步电压的求取,本文使用两点法。如下图2所示:

图2-a为采样信号,A点为采样信号的起始点,同步电压的求取关键在于要在图2-b上找到与A点同相位的点。从图2可以看出,与A等幅值的点可能是B点,也可能是C点,在这里使用两点法来判断。
两点法:在图2-b上找到第一个周期内与A点等幅值的两点B点和C点(B点在前,C点在后)。在图2-a上找到一个周期T内,与A幅值同号的最大值点(D点)。当A点和D点时间间隔小于T/4时,B点与A同相;当A点和D点时间间隔大于T/2时,C点与A同相。
确定了起始点,同步电压也就确定下来了。
2.4 拟同步检波原理
由于f(t)中可能含有闪变信号,所以用两点法测出的同步电压的初相位与f(t)中的工频初相位不一定相同,故本文称其为拟同步检波。
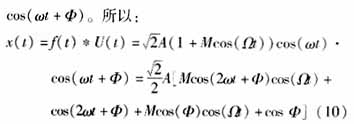
设拟同步电压的初相位与f(t)中的工频初相位差为Φ,f(t)由(8)式定义,则同步电压为:U(t)=

尽管拟同步电压的初相位与f(t)中的工频初相位存在相角差Φ,但Φ是一个很小的值。由式(10)可知,x(t)经变换后变为四项。前两项在100Hz频率附近;第三项为闪频信号(其幅值有变化);第四项为直流量,且当Φ=0时,其为1,与传统方法一样。
这样,通过以上方法对采样信号进行变换,就可以把电压闪变的包络信号分离出来。
2.5 小波包分析

25Hz)对v(t)进行分析。若要求精度,可以再进一步细分,也可以设计小波包让其根据信号的频率自动分频。
提取
(包含频段87.5- 400Hz)。这一频段受噪声影响较小,且利用模极大值可以找到信号突变点,即可以确定闪变发生和终止的时间。
直流分量包含在
频段的重构信号中。在该频段上找出确定的闪变发生时间内幅值最大点D1(对应幅值为F01)和幅值最小点D2(对应幅值为F02),则直流分量幅值F0=(F01+F02)/2。设定能量阈值,找出能量超过该阈值的频段(能量定义为重构信号各点幅值的平方和)。在该频段闪变发生的时间内,找出幅值极大值点集合(对应为波峰),求出平均幅值F11;找出幅值极小值点集合(对应为波谷),求出平均幅值F12,则测得闪变幅值为F1=(F11-F12)/2。
3 仿真
3.1 含有多个闪变频率的仿真
设采样频率为1.6KHZ,采样信号中含有两种闪变频率(Ω1=3Hz、Ω2=15Hz),拟同步电压的初相位与f(t)中的工频初相位差为Φ=π/6。则利用Db24小波包对v(t)分解后,提取的
频段重构图如图3所示:


由图3可以看到,闪变信号按频率分布规律分别落在
上。以各频段的中心频率作为测得闪变频率,若要提高计算精度,可以继续分解。在
上可以计算出直流分量的幅值。
3.2 含有突变的闪变信号仿真
设采样信号中含有一种闪变频率(Ω=7.5Hz),在0.23S时发生,0.83S时结束;拟同步电压的初相位与f(t)中的工频初相位差为Φ=π/6。则利用小波包对v(t)分解后,提取的
频段重构图如图4所示:


由图4可知,在
上可以计算出直流分量幅值;在
上可以计算出闪变信号的幅值和频率;在
上可以找到闪变发生和终止时刻。
4 结论
本文提出了用小波包分析和拟同步检波法对闪变信号进行检测。该方法的优点是:
①用计算机模拟同步电压来代替电压跟踪装置并通过微机计算代替相乘器,大大减少设备投资。
②利用小波包对处理后的信号进行分析,能检测出闪变的幅值、频率及突发的时间。与小波变换相比,小波包分析能够为信号提供一种更加精确的分析方法,它将频带进行多层次划分,对多分辨分析没有细分的高频部分进一步分解,更适合对闪变信号频率的检测。
